Невидимый эксперт. Часть 1: Как AI влияет на профессиональную самооценку пользователей
Автор: Екатерина Гакшта, Geekfactor
Введение
Одним из самых полезных инструментов в любой сфере деятельности на текущий момент считается искусственный интеллект. Его польза очевидна по многим исследованиям (The Quarterly Journal of Economics, ScienceDirect), он помогает увеличить эффективность, снижает нагрузку рутинными задачами и экономит время на поиск.
В противопоставление очевидным плюсам хотелось бы выделить и менее очевидный эффект: подсознательно люди реже воспринимают результат как собственное достижение. Работа выполняется быстрее, а вместе с тем растет и объем задач, но чувство профессиональной уверенности ослабевает. Выгорание снижается, удовлетворенность профессией падает? В этом исследовании мы попытались разобраться, как использование генеративных моделей влияет на внутреннее ощущение себя как специалиста: профессиональную самооценку, доверие к собственному мышлению и психологический комфорт. Мы сравнили пользователей AI и тех, кто отказывается от его использования, дополнив количественные данные интервью с экспертами рынка труда и специалистами в области психического здоровья.
Результаты, полученные нами в ходе исследования, показали: искусственный интеллект способен снизить уровень выгорания, но одновременно может негативно влиять и на ощущение собственной профессиональной ценности. Этот парадокс стал центральной темой исследования.
Статистическое исследование
В рамках нашего исследования был проведён опрос среди трудоспособного населения. Целью опроса стало определить распространенность использования генеративных моделей и сравнить уровни выгорания и уровни удовлетворенности профессиональным путем среди населения, использующего AI-инструменты, и населением, которое их не использует. В опросе приняли участие 125 респондентов. Возрастное распределение: 46% участников старше 45 лет, 38% находятся в диапазоне 30–45 лет, 16% молодые специалисты 18–29 лет. Гендерное распределение близко к симметричному (52% мужчины, 48% женщины), исходя из чего мы можем считать минимальными возможные смещения, связанные с половыми различиями.
Диаграмма 1,2. Возраст и пол респондентов.

Профессиональный стаж респондентов: 48% работают в своей сфере семь лет и более, еще 19% от четырех до шести лет. Специалисты с опытом один-три года составили 24%, начинающие 9%. Отраслевое распределение респондентов также оказалось разнообразным. Наиболее частыми сферами респондентов стали IT (31%), инженерия и строительство (15%), HR (11%), государственное управление, право и безопасность (10%), а также направления, связанные с культурой, медиа и творческими индустриями (10%). Остальные профессии объединены в категорию «другое» (17%).
Диаграмма 3,4. Профессиональная сфера и профессиональный
стаж.
80% респондентов отметили, что используют AI. Среди них практически одинаковое соотношение по применению в повседневных делах и профессиональной деятельности.
Диаграмма 7,8,9. Статистика использования AI



Половина использующих генеративные модели респондентов взаимодействует с инструментами ежедневно: 54% ограничиваются десятью запросами в день, 21% превышает этот показатель.
Диаграмма 10. Частота использования AI 
Наибольший уровень доверия респонденты продемонстрировали в задачах, связанных с креативом и проверкой фактов. Такие направления, как финансы и медицина, воспринимаются заметно осторожнее. Около трети пользователей отметили, что не готовы доверить в приоритете генеративным моделям ни одну из категорий задач.
Диаграмма 11. Сферы доверия к AI

Субъективная оценка изменения жизни из-за влияния AI: 58% отметили существенное улучшение уровня жизни, 23% частичное, 17% не зафиксировали заметных изменений. В сценарии гипотетического исчезновения AI 54% респондента ожидают ухудшения качества жизни, 27% не видят существенных последствий, 5% затруднились с ответом.
Диаграмма 12,13. Субъективная оценка влияния AI на жизнь


Средний показатель уровня выгорания у респондентов, использующих AI, составил 4,87 (по шкале от 1 до 10, где 10 - максимальный уровень выгорания). Также средний показатель уровня удовлетворения профессиональным путем у респондентов, использующих AI, составил 6,08 (по шкале от 1 до 10, где 10 - максимальный уровень удовлетворения своим профессиональным путем)
Диаграмма 14,15. Уровень выгорания и удовлетворенности проф.путем респондентов, использующих AI


Если говорить о респондентах, не использующих AI, то около 40% участников этой подвыборки считают причиной для отказа от генеративных моделей недостаточное доверие к точности их работы. Примерно столько же из подвыборки считают, что подобные технологии им не нужны.
Диаграмма 16. Причины отказа респондентов от использования AI

При этом лишь 4% вообще не знакомы с технологиями AI, а 64% респондентов всё же имеют поверхностное представление (“слышал, но не применяю”), и 32% хорошо осведомлены о функциях и возможностях AI , но целенаправленно по своему решению избегают его использования.
Диаграмма 17. Осведомленность респондентов о AI-инструментах

Некоторые респонденты, не использующие генеративные модели, также отметили, что согласились бы изучить основы их применения в рамках обучения.
Диаграмма 18. Основные факторы мотивации к использованию AI

Прим.автора: Дополнительной диаграммой стоит вынести возрастное распределение выборки, не использующей AI-инструменты.

Средний показатель уровня выгорания у респондентов, не использующих AI, составил 5,68 (по шкале от 1 до 10, где 10 - максимальный уровень выгорания). Средний показатель уровня удовлетворения профессиональным путем у респондентов, не использующих AI, составил 7,36 (по шкале от 1 до 10, где 10 - максимальный уровень удовлетворения своим профессиональным путем).


2. Расчеты.
Сравнение удовлетворенности карьерой между пользователями ИИ и не пользователями ИИ.
В связи с небольшим объемом выборки для оценки уровня удовлетворенности карьерой респондентов были выделены две группы: пользователи ИИ, использующие генеративные модели в работе, далее - Пользователи ИИ (n = 89) и не пользователи ИИ (n = 25). Каждому участнику был присвоен балл по шкале от 1 до 10.
1. Распределение оценок и расчет среднего
Таблица 1. Группа пользователей ИИ (n = 89)
| Оценка | Количество | Оценка × Количество |
|---|---|---|
| 10 | 5 | 50 |
| 9 | 7 | 63 |
| 8 | 18 | 144 |
| 7 | 16 | 112 |
| 6 | 10 | 60 |
| 5 | 11 | 55 |
| 4 | 7 | 28 |
| 3 | 6 | 18 |
| 2 | 5 | 10 |
| 1 | 4 | 4 |
| Итого | 89 | 544 |
Среднее: = = 6,11
Стандартное отклонение = = √(Σ( - x̄)² / (n-1)) = 2,39
Находим для каждой оценки (вспом.табл 1)
| x_i | x_i - 6,11 | x_i | x_i - 6,11 |
|---|---|---|---|
| 10 | 3,89 | 5 | -1,11 |
| 9 | 2,89 | 4 | -2,11 |
| 8 | 1,89 | 3 | -3,11 |
| 7 | 0,89 | 2 | -4,11 |
| 6 | -0,11 | 1 | -5,11 |
Возводим каждое отклонение в квадрат (вспом.табл 2):
| x_i | (x_i - 6,11)² * Количество ответивших | x_i | (x_i - 6,11)² * Количество ответивших |
|---|---|---|---|
| 10 | 15,13 * 6 ≈ 75,66 | 5 | 1,23 * 11 ≈ 13,55 |
| 9 | 8,35 * 7 ≈ 58,47 | 4 | 4,45 * 7 ≈ 31,16 |
| 8 | 3,57 * 18 ≈ 64,30 | 3 | 9,67 * 6 ≈ 58,03 |
| 7 | 0,79 * 18 ≈ 12,67 | 2 | 16,89 * 5 ≈ 84,46 |
| 6 | 0,0121 * 10 ≈ 0,121 | 1 | 26,11 * 4 ≈ 104,45 |
Находим s: Сумма всех квадратов
разностей
= 502,87
Дисперсия выборки = n - 1 = 89 - 1 = 88, дисперсия =
= 5,71
Стандартное отклонение
=√5,71
= 2,39
Таблица 2. Группа не пользователей ИИ (n = 25)
| Оценка | Количество | Оценка × Количество |
|---|---|---|
| 1 | 1 | 1 |
| 3 | 1 | 3 |
| 5 | 2 | 10 |
| 6 | 2 | 12 |
| 7 | 5 | 35 |
| 8 | 7 | 56 |
| 9 | 3 | 27 |
| 10 | 4 | 40 |
| Итого | 25 | 184 |
Прим.автора: далее расчёты будут указаны без демонстрации основных формул.
Среднее: = = 7,36
Стандартное отклонение = = √(Σ(x_i - x̄)² / (n-1)) = 2,06
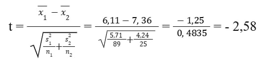
4.Welch t-test
Формула для t-статистики:
Степени свободы (Welch-Satterthwaite):
df =
=
≈ 43,9
Определяем p-value через таблицу распределения Стьюдента (t-распределение):
Рассчитанное t: - 2,58. Степени свободы: df ≈ 43,9.
Из в таблицы t-распределения узнаем, какая вероятность (двусторонняя) соответствует |t| (т.к. распределение Стьюдента симметрично относительно нуля) = 2,58 при df ≈ 43,9.
Двустороннее p-value из таблицы попадает между 0,025 и 0,01:
Применив формулу линейной интерполяции, можем найти нужно найти приблизительное значение p-value,
где - точки, между которыми интерполируем;
- значения функции в этих точках;
- точка, для которой ищем - интерполированное значение.
Применяем к t-распределению:
Нижнее и верхнее критическое значение:
при t = 2,58, выполним расчет p:
p-value для t = 2,58 и df = 43,9 ≈ 0,016.
Рассчитанный p-value означает, что вероятность случайно получить такую разницу между группами всего 1,6%, если нулевая гипотеза верна. Это меньше стандартного уровня значимости 0,05 (5%), который обычно используют в социальных науках.
Исходя из расчетов, разница в уровне удовлетворенности карьерой между
пользователями ИИ и не пользователями ИИ является статистически значимой
(p < 0,05). В среднем не пользователи ИИ демонстрируют более высокую
удовлетворенность карьерой.
Прим. автора: дальнейшие расчеты будут указаны без подробных
вспомогательных таблиц для простоты восприятия.
Сравнение
уровня выгорания между пользователями ИИ и не пользователями
ИИ.
Таблица 3. Группа пользователей ИИ (n = 89)
| Оценка | Кол-во участников | Оценка | Кол-во участников |
|---|---|---|---|
| 1 | 10 | 6 | 10 |
| 2 | 6 | 7 | 8 |
| 3 | 14 | 8 | 10 |
| 4 | 12 | 9 | 2 |
| 5 | 12 | 10 | 5 |
Среднее:
=
= 4,90
Стандартное отклонение =
=
√(Σ(
- x̄)² / (n-1)) = 2,53
Таблица 4. Группа не пользователей ИИ.
| Оценка | Кол-во участников | Оценка | Кол-во участников |
|---|---|---|---|
| 2 | 2 | 7 | 5 |
| 3 | 3 | 8 | 1 |
| 4 | 1 | 9 | 3 |
| 5 | 7 | 10 | 1 |
| 6 | 1 | 1 | 0 |
Среднее:
=
= 5,75,
Стандартное отклонение =
= √(Σ(x_i - x̄)² / (n-1)) = 2,24, s1 = 2,53
4.Welch t-test
Формула для t-статистики:
Степени свободы (Welch-Satterthwaite):
df =
=
≈ 42,76
Определяем p-value через таблицу распределения Стьюдента (t-распределение):
Рассчитанное t: - 1,63. Степени свободы: df ≈ 42,76.
Из в таблицы t-распределения узнаем, какая вероятность (двусторонняя) соответствует |t| = -1,63 при df ≈ 42,76.Двустороннее p-value из таблицы попадает между 0.010 и 0.012:
Применив формулу линейной интерполяции, можем найти нужно найти приблизительное значение p-value,
где - точки, между которыми интерполируем;
- значения функции в этих точках;
- точка, для которой ищем - интерполированное значение.
Применяем к t-распределению:
Нижнее и верхнее критическое значение:
при t = 1,63, выполним расчет p:
p-value для t = 2,58 и df = 43,9 ≈ 0,02.
Рассчитанный p-value означает, что вероятность случайно получить такую разницу между группами всего 2%, если нулевая гипотеза верна. Это меньше стандартного уровня значимости 0,05 (5%), который используют в социальных науках.
Исходя из расчетов, разница в уровне выгорания между пользователями ИИ и не пользователями ИИ является статистически значимой (p < 0,05). В среднем группа “не пользователи ИИ” демонстрируют более высокий уровень выгорания по сравнению с “пользователями ИИ”.
По результатам статистического исследования можно заключить, что использование генеративных моделей негативно сказывается на ощущении профессиональной компетенции, но при этом также оказывает положительное влияние на уровень выгорания.
Продолжение исследования
В следующей части читайте о возможности возникновения нехимической зависимости от AI, дополненное мнением практикующего психиатра: Невидимый эксперт, Часть 2: Возникновение нехимической зависимости от AI
Дорогие коллеги!
Команда Geekfactor искренне благодарит вас за внимание к данной теме. Мы будем рады ознакомиться с вашими мыслями и комментариями, для оперативной связи просто напишите Екатерине.
Если у вас есть тема которую вы бы хотели обсудить, подпишитесь на наш канал - будем рады вашим комментариям. Мы рады любым возможностям совместного сотрудничества!